Добро пожаловать!
Войдите или зарегистрируйтесь сейчас!
Войти
Страница 1 из 5
-

- Регистрация:
- 7 мар 2017
- Сообщения:
- 3
- Симпатии:
- 0
Ребят, расскажите пожалуйста подробно, что конкретно означают ошибки дельта х и дельта у при обратной засечке? У меня на работе думают, что это показывается какая ошибка будет при выносе любой точки, но я знаю что это не так, т.к. по-любому при засечке будет маленький разворот осей и эта ошибка не будет одинаковая на всех расстояниях. Я предполагаю, что на эти дельты прибор корректирует координаты реперов для увязки, следовательно, если стрелять в точку гораздо ближе реперов, то ошибка будет меньше дельты, а если намного дальше, то возможно ошибка будет в разы больше этих дельт. Подскажите, кто шарит плиз
#1
-

Форумчанин
- Регистрация:
- 11 янв 2012
- Сообщения:
- 4.583
- Симпатии:
- 10.130
- Адрес:
-
Kиев
в принципе — полное гавно эта обратная засечка…..

#2
-

Форумчанин
- Регистрация:
- 11 мар 2014
- Сообщения:
- 146
- Симпатии:
- 101
- Адрес:
-
Россия
Если на пальцах, то это условный геометрический овал на плоскости внутри которого прибор определит своё местоположение. В котором дельта Х будет соответствовать диаметру этого овала по оси ординат и дельта Y соответственно оси абсцисс. Ваше дело лишь согласиться и продолжить работу, если полученная погрешность вписывается в требование выданного технического задания или требования заказчика, а если таковых нет- в общепринятые требования геодезических измерений в нивелировке по классам точности, а в линейно-угловых измерениях по разрядам. А по сути засечка, как описал наш товарищ выше, и есть зло. Поскольку самые точные это увязанные координаты у закреплённых знаков. А выносимый висячий ход, по правилам не более двух последующих станций, очень-очень-и-очень сильно разворачивает. Так что для соблюдения геометрии системы координат (прямоугольной(условной)-отдельной строй площадки, или мировой- в тахеометрии и изысканиях), нужна привязка хотя бы к трём надёжным пунктам геодезической сети.
#3
-

Форумчанин
Посчитайте сколько нужно пунктов на стройплощадку среднего промобъекта, прикиньте расходы, трудозатраты, сколько их останется в живых и поймете, что обратка — необходимое зло.
#4
-

Форумчанин
- Регистрация:
- 29 сен 2012
- Сообщения:
- 192
- Симпатии:
- 30
При обеспечении должной сходимости пунктов сети обратная линейно-угловая засечка по минимум трем пунктам дает отличные результаты выноса в натуру. Зачастую условия строительной площадки (нагромождения техники, стр материалов) делают затруднительным применение прямой засечки. Другой вопрос — это правильная оценка качества обратной засечки, т.к. СКО на первом экране измерений далеко не единственный показатель качества засечки. Ну, и на худой конец, никто не мешает, засекаясь по трем(можно и более, но не обзательно, при хорошей ПВО) пунктам, проверить выносом четвертый и оценить качество последующих выносов.
#5
-

Форумчанин
- Регистрация:
- 17 янв 2014
- Сообщения:
- 135
- Симпатии:
- 99
Если Вы приняли от Заказчика ГРО с марками не менее пяти и СКО в ноль. То работайте.
Засекаясь минимум от трёх марок. Главное, прибор должен быть поверен раз в год. При засечке не должно быть острых и тупых углов. При приемке ГРО определите СКО с трех точек на площадке. Если что-то не так, письмо Заказчику и будет всё исправлено.#6
-

Форумчанин
- Регистрация:
- 16 июн 2015
- Сообщения:
- 103
- Симпатии:
- 327
-

Форумчанин
- Регистрация:
- 29 сен 2012
- Сообщения:
- 192
- Симпатии:
- 30
Повторюсь, но при линейно-угловой засечке с минимум трех пунктов с хорошей взаимной сходимостью геометрия сильно Вам не помешает. Ограничения на острые и тупые углы при засечке актуальна для угловой засечки.
#8
-

Форумчанин
- Регистрация:
- 11 янв 2012
- Сообщения:
- 4.583
- Симпатии:
- 10.130
- Адрес:
-
Kиев
при установки к примеру анкеров — вся ваша засечка гавно.
контроль тоже встанет с засечкой и разлет будет не в допуске.
может котлован под фундаменты и пройдет, а что то более серьезное нет.#9
-

Форумчанин
- Регистрация:
- 29 июн 2011
- Сообщения:
- 894
- Симпатии:
- 577
- Адрес:
-
Витебск
Сегодня — среда!, не пятница, а ты уже?
#10
-

Форумчанин
Мужики..никому не в обиду…
Вот почитаешь тут порой.. умно пишут! Типа засечка .авно!
В реале столкнешься..Сколько не ходил по стройкам..везде одна и та же песня..везде обратная засечка рулит!
Везде всё одинаково.. везде работают одинаково.. С той разницей что у одних геодезистов марки наклеены на покрашенную основу,которая выделяется из общей картины,и марочки видно даже из подвала..А я даже их маркером подписывал,чтобы по запаре координаты не попутать.. А у других налеплены хз как ищешь марки по пол часа…#11
art3geo и Ламаград нравится это.
-

Форумчанин
- Регистрация:
- 29 июн 2011
- Сообщения:
- 894
- Симпатии:
- 577
- Адрес:
-
Витебск
Голова.
Голова геодезиста рулит…
(Измеряй хоть шагами: лишь бы правильно.)#12
-

Форумчанин
Да вот как-то встает и разлеты мизерные.
Видать, где-то засечка не поперла, что на всю пенсию осадок остался )))#13
-

Форумчанин
- Регистрация:
- 17 янв 2014
- Сообщения:
- 135
- Симпатии:
- 99
При начале работ и создании ГРО каждая организация начинает экономить. Здесь всё зависит от геодезиста который принимает ГРО.
Втюхали тебе халтуру, подписал и работай не робчи. Засечка здесь не виновата.
Прежде чем что-то обвинять, не мешает теорию почитать, да и юстировку прибора вовремя делать.
Установите себе одно железное правило. Достав тахеометр с кейса минут так 15 покурить, по…..ть, и лишь потом определяться и работать. Откажитесь от алюминевых штативов.
Вот это основной залог точности Вашей работы.#14
-

Форумчанин
- Регистрация:
- 11 янв 2012
- Сообщения:
- 4.583
- Симпатии:
- 10.130
- Адрес:
-
Kиев
у меня осечек не было, при ответственных работах засечкой не пользуюсь, а вот пару
таких спецов ловил — что фундаменты потом под снос#15
-

Форумчанин
- Регистрация:
- 29 сен 2012
- Сообщения:
- 192
- Симпатии:
- 30
Ни в коем случае не навязываю ни Вам ни кому-то еще применение обратной засечки, но условия строительной площадки(стр техника, стр материалы и прочее) зачастую по умолчанию располагают к применению именно оной. Что делать, если нет видимости с ближайших «становых» пунктов на область текущей разбивки и съемки? Выкидывать висячку? Или же сгущать каждый раз сеть? И потом, на мой взгляд применение обратной линейно-угловой засечки с 3-4-х пунктов позволяет оценивать их устойчивость с течением времени, оценивая хотя бы результаты решения засечки прибором (на каждый пункт, если Ваш инструмент такое позволяет).
Если применять обратную засечку как мои генподрядчики — раскидать висячками ГРО, затем засечся от «нового ГРО»(от 2-х пунктов) и вновь выкинуть висячее ГРО, а затем откручивать обратную засечку и радоваться тому, что Leica показывает 0 мм в плане и 1 мм по высоте, то да — такая засечка это зло.#16
-

Форумчанин
- Регистрация:
- 16 июн 2015
- Сообщения:
- 103
- Симпатии:
- 327
Да, если не центрироваться над точкой пересечения осей .
— Сообщения объединены, 25 окт 2018, Оригинальное время сообщения: 25 окт 2018 —
всегда нет видимости! На плите, напротив каждого обособленного помещения, забиваем дюбель и прокладываем ход трехштативным методом, или создаем линейно-угловую сеть сгущения, уравненную в Кредо Дат с указанием допусков))
#17
-

Форумчанин
- Регистрация:
- 28 фев 2010
- Сообщения:
- 4.550
- Симпатии:
- 5.006
Причина ошибок не в засечках, а в головах исполнителей.
#18
-

Форумчанин
Если есть возможность — обходитесь без засечки, делов-то.
Один раз за карьеру встречал ГРО на весь объект, с заложенными пунктами в виде 21-метровых вбитых свай, у оператора EXXON при строительстве завода, там засечки и не применялись.
В основном, от реперов ГРО развиваются сети на каждый подобъект в виде марок.
Если у контролера и исполнителя засечки сходятся — все довольны.
А рукожопов везде хватает, так что не надо путать методу и ваятелей.+Была бы плита )))
А ход с какой погрещностью выйдет?
А сезонные пучения как повлияют на ваш дюбель?
И т.д. и т.п.#19
-

Форумчанин
- Регистрация:
- 16 июн 2015
- Сообщения:
- 103
- Симпатии:
- 327
Дюбель на плите перекрытия.
#20
Страница 1 из 5
Поделиться этой страницей
Добро пожаловать!
Войдите или зарегистрируйтесь сейчас!
Войти
Страница 1 из 5
-
- Регистрация:
- 7 мар 2017
- Сообщения:
- 3
- Симпатии:
- 0
Ребят, расскажите пожалуйста подробно, что конкретно означают ошибки дельта х и дельта у при обратной засечке? У меня на работе думают, что это показывается какая ошибка будет при выносе любой точки, но я знаю что это не так, т.к. по-любому при засечке будет маленький разворот осей и эта ошибка не будет одинаковая на всех расстояниях. Я предполагаю, что на эти дельты прибор корректирует координаты реперов для увязки, следовательно, если стрелять в точку гораздо ближе реперов, то ошибка будет меньше дельты, а если намного дальше, то возможно ошибка будет в разы больше этих дельт. Подскажите, кто шарит плиз
#1
-
Форумчанин
- Регистрация:
- 11 янв 2012
- Сообщения:
- 4.390
- Симпатии:
- 9.842
- Адрес:
-
Kиев
в принципе — полное гавно эта обратная засечка…..

#2
-
Форумчанин
- Регистрация:
- 11 мар 2014
- Сообщения:
- 146
- Симпатии:
- 100
- Адрес:
-
Россия
Если на пальцах, то это условный геометрический овал на плоскости внутри которого прибор определит своё местоположение. В котором дельта Х будет соответствовать диаметру этого овала по оси ординат и дельта Y соответственно оси абсцисс. Ваше дело лишь согласиться и продолжить работу, если полученная погрешность вписывается в требование выданного технического задания или требования заказчика, а если таковых нет- в общепринятые требования геодезических измерений в нивелировке по классам точности, а в линейно-угловых измерениях по разрядам. А по сути засечка, как описал наш товарищ выше, и есть зло. Поскольку самые точные это увязанные координаты у закреплённых знаков. А выносимый висячий ход, по правилам не более двух последующих станций, очень-очень-и-очень сильно разворачивает. Так что для соблюдения геометрии системы координат (прямоугольной(условной)-отдельной строй площадки, или мировой- в тахеометрии и изысканиях), нужна привязка хотя бы к трём надёжным пунктам геодезической сети.
#3
-
Форумчанин
Посчитайте сколько нужно пунктов на стройплощадку среднего промобъекта, прикиньте расходы, трудозатраты, сколько их останется в живых и поймете, что обратка — необходимое зло.
#4
-
Форумчанин
- Регистрация:
- 29 сен 2012
- Сообщения:
- 183
- Симпатии:
- 28
При обеспечении должной сходимости пунктов сети обратная линейно-угловая засечка по минимум трем пунктам дает отличные результаты выноса в натуру. Зачастую условия строительной площадки (нагромождения техники, стр материалов) делают затруднительным применение прямой засечки. Другой вопрос — это правильная оценка качества обратной засечки, т.к. СКО на первом экране измерений далеко не единственный показатель качества засечки. Ну, и на худой конец, никто не мешает, засекаясь по трем(можно и более, но не обзательно, при хорошей ПВО) пунктам, проверить выносом четвертый и оценить качество последующих выносов.
#5
-
Форумчанин
- Регистрация:
- 17 янв 2014
- Сообщения:
- 135
- Симпатии:
- 98
Если Вы приняли от Заказчика ГРО с марками не менее пяти и СКО в ноль. То работайте.
Засекаясь минимум от трёх марок. Главное, прибор должен быть поверен раз в год. При засечке не должно быть острых и тупых углов. При приемке ГРО определите СКО с трех точек на площадке. Если что-то не так, письмо Заказчику и будет всё исправлено.#6
-
Форумчанин
- Регистрация:
- 16 июн 2015
- Сообщения:
- 103
- Симпатии:
- 327
-
Форумчанин
- Регистрация:
- 29 сен 2012
- Сообщения:
- 183
- Симпатии:
- 28
Повторюсь, но при линейно-угловой засечке с минимум трех пунктов с хорошей взаимной сходимостью геометрия сильно Вам не помешает. Ограничения на острые и тупые углы при засечке актуальна для угловой засечки.
#8
-
Форумчанин
- Регистрация:
- 11 янв 2012
- Сообщения:
- 4.390
- Симпатии:
- 9.842
- Адрес:
-
Kиев
при установки к примеру анкеров — вся ваша засечка гавно.
контроль тоже встанет с засечкой и разлет будет не в допуске.
может котлован под фундаменты и пройдет, а что то более серьезное нет.#9
-
Форумчанин
- Регистрация:
- 29 июн 2011
- Сообщения:
- 896
- Симпатии:
- 577
- Адрес:
-
Витебск
Сегодня — среда!, не пятница, а ты уже?
#10
-
Форумчанин
Мужики..никому не в обиду…
Вот почитаешь тут порой.. умно пишут! Типа засечка .авно!
В реале столкнешься..Сколько не ходил по стройкам..везде одна и та же песня..везде обратная засечка рулит!
Везде всё одинаково.. везде работают одинаково.. С той разницей что у одних геодезистов марки наклеены на покрашенную основу,которая выделяется из общей картины,и марочки видно даже из подвала..А я даже их маркером подписывал,чтобы по запаре координаты не попутать.. А у других налеплены хз как ищешь марки по пол часа…#11
art3geo и Ламаград нравится это.
-
Форумчанин
- Регистрация:
- 29 июн 2011
- Сообщения:
- 896
- Симпатии:
- 577
- Адрес:
-
Витебск
Голова.
Голова геодезиста рулит…
(Измеряй хоть шагами: лишь бы правильно.)#12
-
Форумчанин
Да вот как-то встает и разлеты мизерные.
Видать, где-то засечка не поперла, что на всю пенсию осадок остался )))#13
-
Форумчанин
- Регистрация:
- 17 янв 2014
- Сообщения:
- 135
- Симпатии:
- 98
При начале работ и создании ГРО каждая организация начинает экономить. Здесь всё зависит от геодезиста который принимает ГРО.
Втюхали тебе халтуру, подписал и работай не робчи. Засечка здесь не виновата.
Прежде чем что-то обвинять, не мешает теорию почитать, да и юстировку прибора вовремя делать.
Установите себе одно железное правило. Достав тахеометр с кейса минут так 15 покурить, по…..ть, и лишь потом определяться и работать. Откажитесь от алюминевых штативов.
Вот это основной залог точности Вашей работы.#14
-
Форумчанин
- Регистрация:
- 11 янв 2012
- Сообщения:
- 4.390
- Симпатии:
- 9.842
- Адрес:
-
Kиев
у меня осечек не было, при ответственных работах засечкой не пользуюсь, а вот пару
таких спецов ловил — что фундаменты потом под снос#15
-
Форумчанин
- Регистрация:
- 29 сен 2012
- Сообщения:
- 183
- Симпатии:
- 28
Ни в коем случае не навязываю ни Вам ни кому-то еще применение обратной засечки, но условия строительной площадки(стр техника, стр материалы и прочее) зачастую по умолчанию располагают к применению именно оной. Что делать, если нет видимости с ближайших «становых» пунктов на область текущей разбивки и съемки? Выкидывать висячку? Или же сгущать каждый раз сеть? И потом, на мой взгляд применение обратной линейно-угловой засечки с 3-4-х пунктов позволяет оценивать их устойчивость с течением времени, оценивая хотя бы результаты решения засечки прибором (на каждый пункт, если Ваш инструмент такое позволяет).
Если применять обратную засечку как мои генподрядчики — раскидать висячками ГРО, затем засечся от «нового ГРО»(от 2-х пунктов) и вновь выкинуть висячее ГРО, а затем откручивать обратную засечку и радоваться тому, что Leica показывает 0 мм в плане и 1 мм по высоте, то да — такая засечка это зло.#16
-
Форумчанин
- Регистрация:
- 16 июн 2015
- Сообщения:
- 103
- Симпатии:
- 327
Да, если не центрироваться над точкой пересечения осей .
— Сообщения объединены, 25 окт 2018, Оригинальное время сообщения: 25 окт 2018 —
всегда нет видимости! На плите, напротив каждого обособленного помещения, забиваем дюбель и прокладываем ход трехштативным методом, или создаем линейно-угловую сеть сгущения, уравненную в Кредо Дат с указанием допусков))
#17
-
Форумчанин
- Регистрация:
- 28 фев 2010
- Сообщения:
- 4.536
- Симпатии:
- 4.971
Причина ошибок не в засечках, а в головах исполнителей.
#18
-
Форумчанин
Если есть возможность — обходитесь без засечки, делов-то.
Один раз за карьеру встречал ГРО на весь объект, с заложенными пунктами в виде 21-метровых вбитых свай, у оператора EXXON при строительстве завода, там засечки и не применялись.
В основном, от реперов ГРО развиваются сети на каждый подобъект в виде марок.
Если у контролера и исполнителя засечки сходятся — все довольны.
А рукожопов везде хватает, так что не надо путать методу и ваятелей.+Была бы плита )))
А ход с какой погрещностью выйдет?
А сезонные пучения как повлияют на ваш дюбель?
И т.д. и т.п.#19
-
Форумчанин
- Регистрация:
- 16 июн 2015
- Сообщения:
- 103
- Симпатии:
- 327
Дюбель на плите перекрытия.
#20
Страница 1 из 5
Поделиться этой страницей
Способ обратной угловой засечки
На
местности находят приближенное
положение К’ выносимой
проектной точки К (рис.
1.49).
Над точкой К’устанавливают
теодолит и с требуемой точностью измеряют
углы β1,
β2 как
минимум на три опорные точки с известными
координатами. По формулам обратной
угловой засечки вычисляют координаты
точки К’ и
сравнивают их с проектными значениями.
По разности координат определяют
величины редукций Δх, Δу или угловой Ө
и линейный е элементы
и смещают точку в проектное положение К.
Рис.
1.49. Способ
обратной угловой засечки
Для
контроля на точке К измеряют
углы и по ним вычисляют координаты
точки К и
сравнивают их с проектными. При
недопустимых расхождениях измерения
повторяют.
Вычисление
координат точки К можно
выполнить по формулам:

(1.53)
Вычисления
по этим формулам удобно выполнять по
следующей схеме:
Контроль:
Δх = Δх1
Δу = Δх tgα
Значения
к1,
к3 получают
из решения определителей, а к2,
к4 —
путём суммирования результатов умножения
элементов верхней строки на лежащие
под ними элементы нижней строки.
Точность разбивки способом
обратной угловой засечки зависит от
ошибки засечки, исходных даннх,
центрирования теодолита и визирных
целей, фиксации выносимой точки и
редуцирования. При большом расстоянии
от определяемой до исходных точек
наиболее сущетвенными будут влияние
ошибок засечки и исходных данных.
Средние
квадратические ошибки координат
точки К методом
обратной угловой засечки :

(1.54)
где
mβ —
средняя квадратическая ошибка
измерения угла.
Средняя
квадратическая ошибка положения
определяемой точки
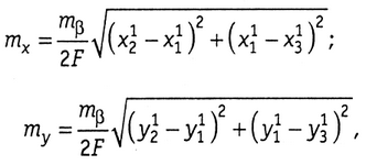
![]()
(1.55)
Если
на пункте К измеряли
направления способом круговых
приёмов, то
![]()
(1.56)
где mН —
средняя квадратическа ошибка направления.
Входящие
в формулы (1.54) — (1.56) площадь F и
стороны σ1,
σ2,
σ3 инвертного
(обращённого) треугольника 1’2’3′ измеряют
по схеме (рис.
1.50),
на которой в произвольном масштабе по
направлениям на пункты 1, 2, 3 откладывают
величины ri =
ρ / si,
где si —
расстояние от пункта К до
пункта i, получают
обращенный треугольник 1’2’3′ со
сторонами σ1,
σ2,
σ3.
Если точки 1’2’3′ лежат на одной прямой,
то площадь F =
0, mx = my =
M = ∞, т.е. Имеем неопределённость решения
обратной угловой засечки.
Рис.1.50.
Элементы инертного треугльника
При
β1 =
120°, β1 =
240° и расстояниях К1 ≈
К2 ≈
К3 =sср (рис.
1.49)
М
= 4,56 mβsср,
где
mβ —
в сек. дуги, sср —
в км, М — в мм
Для
приблеженных расчётов в при опредлении
влияния ошибок исходных данных приведена
формула
где
m123 =
m1=m2=m3 —
ошибки в положении исходного пункта;
ω123 =
углу 123; τ = β2 +
ω123 —
180°; bср =
b12 ≈
b13
При sср =
1400м, bср =
2100 м, β2 =
220°, ω123 =
85°, mβ =
2″, m123 =
5 мм
находим
Способ линейной засечки
В
этом способе положение проектной
точки К на
местности определяют в пересечении
проектных расстояний d1 и
d2,
его применяют в основном для разбивки осей
строительных конструкций при d1 и
d2меньше
длины мерного прибора. Одной рулеткой
от А откладывают
d1,
а рулеткой от точки В отрезок
d2.
Пересечение отрезков d1 и
d2 (при
совмещении нулей рулеток с точками А и В)
дает определяемую точку К(рис.
1.51).
Рис.
1.51.
Линейная засечка
Средняя
квадратическая ошибка mлз линейной
засечки при одинаковой точности
откладывания отрезков d1и
d2
![]()
(1.57)
Величина
ошибок исходных данных в линейной
засечке
При
mA =
mB =
mAB
Общая
ошибка
![]()
(1.58)
Средняя
квадратическая ошибка откладывания
отрезка d = d1 =
d2

(1.59)
При
γ =90°, mк=
10мм, mАВ =
5 мм находим
Соседние файлы в предмете [НЕСОРТИРОВАННОЕ]
- #
- #
- #
- #
- #
- #
- #
- #
- #
- #
- #
Опубликовал | Дата 25 января, 2016
![]()
Привет друзья!
На днях почитал комментарии на некоторые мои видео из Ютуба. Много было комментариев по способам засечки и проверки ее. Хотелось бы еще раз затронуть эту тему.
То, что засекаться по трем точкам нужно, это понятно, я не спорю и даже рекомендую. Но просто некоторые личности утверждали что нужно как минимум три точки. Это не так. Даже в инструкции к тахеометру написано: при выполнении линейных измерений можно использовать от 2 до 10 известных пунктов, а при выполнении угловых измерений – от 3 до 10. Последнее, имеется ввиду засечка по углам, а не по координатам.
Даже в инструкции к тахеометру Sokkia CX-105 рекомендуют располагать опорные точки в виде вершин равностороннего треугольника, по крайней мере стремиться к этому. И не располагать прибор на окружности с реперами.
![]()
![]()
Это можно легко проверить в AutoCAD. Нарисовать окружность по трем опорным точкам посмотреть куда попадет ваша станция. Согласно этой инструкции у меня точки расположены не правильно, так как по идее станция должна находиться внутри окружности, а не снаружи. Поэтому друзья, учитесь на моих ошибках и не повторяйте их. Смотрите видео ниже как я проверил свои опорные точки.
Об этом я уже писал в этой статье. Лично я использую засечку по двум точкам, когда не нужна особая точность и мало времени. Причем если делать засечку на веху, то даже по двум точкам засечка будет очень хорошей. Недавно, приведу пример. Размечал центра опор на 4 этаже под балку мансарды на одном из своих объектов. Делал это повторно, так как это часто бывает снесли несколько дюбелей. Но если в прошлый раз площадка была чистой, то теперь мешали залитые колонны и поддоны с кирпичом. Поэтому нужно было засечься на одной стороне здания, так как точки были видны только оттуда. Закоординировать 2 точки на другой стороне здания, переставить прибор и уже от этих 2 точек привязаться и выполнить работу. Так вот как я проверился. Я поставил веху на сохранившееся дюбеля, которые я выносил в прошлый раз. По У у меня совпали координаты до 1 мм, а по Х разность составила 1 см. Конечно для осей это много, но не критично для 3 этажного здания, а тем более для опор, опиравшихся на плиту перекрытия. Так это я засекался по двум маркам изначально и угол на марки был далеко не идеальный. Поэтому если вы хотите проверять себя после засечки, лучше всего проверять совпадают ли ваши координаты с точками, которые вы выносили раньше.
Еще один из способов, который мне понравился, предложили в комментариях под видео. Мы создаем 4 опорные точки. Как создается эти точки я писал в этой статье. Засекаемся от 3 точек, а 4 нужна для контроля. После засечки и создания станции, мы делаем измерения на 4 точку и сравниваем полученные координаты с начальными. Но здесь не раскрыт вопрос до конца, так как не понятно кокой допуск считать нормальным. Понятно, что чем меньше разность в координатах, тем лучше. Но иногда как бы вы не засекались, разность превышает 1-2 см. Как тогда быть? Дело в том что чем дальше от станции находиться точка тем больше она может не совпадать. Когда вы засекаетесь у вас определяется положение начала координат и направление осей. И иногда происходит небольшой разворот осей сетки координат. И здесь уже погрешность зависит от плеча. Если развернуло точку через 200 м на 5 см. То на расстоянии 20 м этот разворот будет в десять раз меньше 5 мм. А это уже не так уж и много. Короче, вывод, если у вас не совпадают координаты на несколько см, смотрите на расстояние до опорной точки. Если есть сомнения делайте измерения на вынесенные раньше точки и проверьте их координаты. Проблема в том что не всегда это можно сделать, так как эти точки уже находятся этажом ниже и их не видно. Как вариант можно стать в стороне от здания и прострелять несколько одних и тех же точек на нескольких этажах, это если вы совсем хотите заморочиться. А вообще, если каждый раз делать съемку, то всегда видно как себя ведет привязка. Если у вас плохая база и получается плохая засечки, то у вас либо стены смещаются (по съемке) в одну сторону на 1-2 см или идет разворот. С одной стороны здания у вас нормальные отклонения, а с другой увеличиваются. В общем по съемке это можно проанализировать. Другое дело если не делать съемку, то вы работаете на свой страх и риск. Бывает такой конструктив здания, когда угол стены совпадает с углом плиты перекрытия. Тогда вынося контур плиты, сразу видно отклонения стен. На этом все друзья, смотрите видео. Сильно не судите, я только учусь его снимать и совершенно не могу себя раскованно вести перед камерой. Из за этого иногда случаются ляпы и ошибки как в этом видео.
Друзья ставьте мне звездочки и лайки, буду очень вам признателен за это. И спрашивайте в комментариях, если что не понятно. На этом все друзья, до скорых встреч.
Рейтинг:
Loading …
4 230 просмотров
Способ обратной угловой засечки
На
местности находят приближенное
положение К’ выносимой
проектной точки К (рис.
1.49).
Над точкой К’устанавливают
теодолит и с требуемой точностью измеряют
углы β1,
β2 как
минимум на три опорные точки с известными
координатами. По формулам обратной
угловой засечки вычисляют координаты
точки К’ и
сравнивают их с проектными значениями.
По разности координат определяют
величины редукций Δх, Δу или угловой Ө
и линейный е элементы
и смещают точку в проектное положение К.
Рис.
1.49. Способ
обратной угловой засечки
Для
контроля на точке К измеряют
углы и по ним вычисляют координаты
точки К и
сравнивают их с проектными. При
недопустимых расхождениях измерения
повторяют.
Вычисление
координат точки К можно
выполнить по формулам:

(1.53)
Вычисления
по этим формулам удобно выполнять по
следующей схеме:
Контроль:
Δх = Δх1
Δу = Δх tgα
Значения
к1,
к3 получают
из решения определителей, а к2,
к4 —
путём суммирования результатов умножения
элементов верхней строки на лежащие
под ними элементы нижней строки.
Точность разбивки способом
обратной угловой засечки зависит от
ошибки засечки, исходных даннх,
центрирования теодолита и визирных
целей, фиксации выносимой точки и
редуцирования. При большом расстоянии
от определяемой до исходных точек
наиболее сущетвенными будут влияние
ошибок засечки и исходных данных.
Средние
квадратические ошибки координат
точки К методом
обратной угловой засечки :

(1.54)
где
mβ —
средняя квадратическая ошибка
измерения угла.
Средняя
квадратическая ошибка положения
определяемой точки
![]()
(1.55)
Если
на пункте К измеряли
направления способом круговых
приёмов, то
![]()
(1.56)
где mН —
средняя квадратическа ошибка направления.
Входящие
в формулы (1.54) — (1.56) площадь F и
стороны σ1,
σ2,
σ3 инвертного
(обращённого) треугольника 1’2’3′ измеряют
по схеме (рис.
1.50),
на которой в произвольном масштабе по
направлениям на пункты 1, 2, 3 откладывают
величины ri =
ρ / si,
где si —
расстояние от пункта К до
пункта i, получают
обращенный треугольник 1’2’3′ со
сторонами σ1,
σ2,
σ3.
Если точки 1’2’3′ лежат на одной прямой,
то площадь F =
0, mx = my =
M = ∞, т.е. Имеем неопределённость решения
обратной угловой засечки.
Рис.1.50.
Элементы инертного треугльника
При
β1 =
120°, β1 =
240° и расстояниях К1 ≈
К2 ≈
К3 =sср (рис.
1.49)
М
= 4,56 mβsср,
где
mβ —
в сек. дуги, sср —
в км, М — в мм
Для
приблеженных расчётов в при опредлении
влияния ошибок исходных данных приведена
формула
где
m123 =
m1=m2=m3 —
ошибки в положении исходного пункта;
ω123 =
углу 123; τ = β2 +
ω123 —
180°; bср =
b12 ≈
b13
При sср =
1400м, bср =
2100 м, β2 =
220°, ω123 =
85°, mβ =
2″, m123 =
5 мм
находим
Способ линейной засечки
В
этом способе положение проектной
точки К на
местности определяют в пересечении
проектных расстояний d1 и
d2,
его применяют в основном для разбивки осей
строительных конструкций при d1 и
d2меньше
длины мерного прибора. Одной рулеткой
от А откладывают
d1,
а рулеткой от точки В отрезок
d2.
Пересечение отрезков d1 и
d2 (при
совмещении нулей рулеток с точками А и В)
дает определяемую точку К(рис.
1.51).
Рис.
1.51.
Линейная засечка
Средняя
квадратическая ошибка mлз линейной
засечки при одинаковой точности
откладывания отрезков d1и
d2
![]()
(1.57)
Величина
ошибок исходных данных в линейной
засечке
При
mA =
mB =
mAB
Общая
ошибка
![]()
(1.58)
Средняя
квадратическая ошибка откладывания
отрезка d = d1 =
d2

(1.59)
При
γ =90°, mк=
10мм, mАВ =
5 мм находим
Соседние файлы в предмете [НЕСОРТИРОВАННОЕ]
- #
- #
- #
- #
- #
- #
- #
- #
- #
- #
- #
Проблема:
При обратной засечке прибор выдаёт надпись «Ошибка расч» и выходит из программы засечки.
Решение:
Проверьте корректность вводимых координат пунктов или наведение на них. Такая ошибка бывает лишь при очень грубых ошибках.
Рекомендуем в случае засечки от двух пунктов иметь между ними угол близкий к 90 градусам. А в случае засечки от трёх и более пунктов чтобы углы между точками не превышали 140 градусов и имели равномерное распределение (на сколько это возможно). Проблема:
При обратной засечке прибор выдаёт надпись «Ошибка расч» и выходит из программы засечки.
Решение:
Проверьте корректность вводимых координат пунктов или наведение на них. Такая ошибка бывает лишь при очень грубых ошибках. Рекомендуем в случае засечки от двух пунктов иметь между ними угол близкий к 90 градусам. А в случае засечки от трёх и более пунктов чтобы углы между точками не превышали 140 градусов и имели равномерное распределение (на сколько это возможно).
